ABACUS 计算电子局域函数 ELF 使用教程
作者:孙亮,邮箱:l.sun@pku.edu.cn
审核:陈默涵,邮箱:mohanchen@pku.edu.cn
最后更新时间:2024/10/10
一、背景
电子局域函数(Electron localization function,ELF)最早在 1990 年由 Becke 和 Edgecombe 提出[1],它描述电子的局域化程度。根据定义,ELF 是一个 0 到 1 之间的数,越接近 1,表示电子越局域,ELF=1/2 时,对应均匀电子气,越接近 0,表示电子越离域。
目前,ABACUS 支持使用平面波基组、原子轨道基组下的 Kohn-Sham DFT(KSDFT)和无轨道密度泛函理论计算并输出 ELF。
二、定义
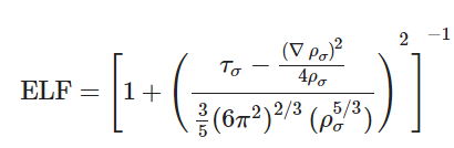
1. 自旋非极化
自旋非极化时,ELF 定义为
其中,为 KSDFT 的正定动能密度,为 von Weizsäcker 泛函的正定形式,为 Thomas-Fermi 泛函。
2. 自旋极化
自旋极化状态下,我们可以针对一种自旋的电子定义 ELF,即
其中,为自旋为的电子对应的正定动能密度。对于动能泛函,根据自旋标度率,有,因此,,。
注:Becke 和 Edgecombe 对 ELF 的原始定义为
由于这里,因此分子分母同除以 2 后与上述定义相同。
同时,我们也可以定义总的 ELF,即
其中。
3. 稳定性修正
在远离原子核的区域,的分子和分母均趋于零,但分母更快地趋于零,因此趋于无穷,最终 ELF 趋于零。
但在 LCAO 基组下,由于基组的不完备性,在远离原子核的某些区域,的分子可能更快地趋于零,导致趋于零或得到一个有限的值,最终得到非零的 ELF,即电子出现不物理的“局域化”。在 PW 基组下,则没有上述问题。
为了修正基组带来的不稳定性,我们采用了文献[2]中的建议,在的分子上增加一个很小的修正值,以保证在远离原子核的区域正确地趋于零。经测试后,ABACUS 取此修正值为 ,即可以提升稳定性,又不会影响近核区域的结果。
三、ABACUS 计算 ELF 具体流程
相关参数:out_elf [int] [int]:out_elf 的第一个值控制是否输出 ELF,设置为 1 则输出,默认值为 0;第二个值控制输出的有效数字位数,默认为 3。
在 INPUT 中设置 out_elf 1 并运行 ABACUS 后,ELF 会被存储到 OUT 文件夹下。
自旋非极化情况下(nspin 1)ELF 会被存储到 ELF.cube 文件中;自旋极化的情况下(nspin 2),除了 ELF.cube 中存储的总 ELF,自旋为上和自旋为下的 ELF 会分别存储在 ELF_SPIN1.cube 和 ELF_SPIN2.cube 中。这些 cube 文件都可以直接在 VESTA 中可视化。
下面举两个具体的例子,一个自旋非极化的水分子,另一个是自旋极化的体心立方铁。
1. 计算实例:自旋非极化的水分子
1.1 平面波基组
算例地址:https://github.com/MCresearch/abacus-user-guide/tree/master/examples/elf/H20-pw
运行此算例得到的 ELF.cube 文件如下,由于此算例中的水分子放置在真空中,远离水分子的区域内 ELF 都为零。
STEP: 0 Cubefile created from ABACUS. Inner loop is z, followed by y and x
1 (nspin)
3 0.0 0.0 0.0
180 0.155556 0.000000 0.000000
180 0.000000 0.155556 0.000000
180 0.000000 0.000000 0.155556
1 1.000000 11.967714 18.726812 8.322864
1 1.000000 14.244302 20.657387 7.503683
8 6.000000 13.550429 19.681072 9.139011
0.000e+00 0.000e+00 0.000e+00 0.000e+00 0.000e+00 0.000e+00
0.000e+00 0.000e+00 0.000e+00 0.000e+00 0.000e+00 0.000e+00
......
0.000e+00 0.000e+00 0.000e+00 0.000e+00 0.000e+00 0.000e+00
将此文件在 VEASTA 中可视化,得到下图,其中左图为 ELF 的等高面,右图为在 H-O-H 截面上的切面图。


1.2 原子轨道基组
算例地址:https://github.com/MCresearch/abacus-user-guide/tree/master/examples/elf/H20-lcao
运行此算例后,可得到与上例格式相同的 ELF.cube 文件,用 VESTA 可视化的结果如下图,其中左图为 ELF 的等高面,右图为在 H-O-H 截面上的切面图。。


由于使用的基组不同,得到的 ELF 也略有不同。
2. 计算实例:自旋极化的体心立方铁
算例地址:https://github.com/MCresearch/abacus-user-guide/tree/master/examples/elf/bcc-Fe-pw
此算例使用 PW 基组下的 KSDFT。运行此算例后,可以得到 ELF.cube,ELF_SPIN1.cube 与 ELF_SPIN2.cube 三个文件,分别存储总 ELF,自旋为上电子的 ELF 以及自旋为下电子的 ELF,下面为三种不同的 ELF 在(100)晶面上的分布图。



四、参考文献
[1] Becke A D, Edgecombe K E. A simple measure of electron localization in atomic and molecular systems[J]. The Journal of chemical physics, 1990, 92(9): 5397-5403.
[2] 卢天, 陈飞武. 电子定域化函数的含义与函数形式[J]. 物理化学学报, 2011, 27(12): 2786-2792.
由于这里,因此分子分母同除以 2 后与上述定义相同。